помогите пж решить вот задача
найти радиусы вписанной и описанной около правильного треугольника если их разность равна 7см
Ответы
Можно и без формул! Тогда решение становится совсем простым!
В правильном треугольнике центры вписанной и описанной окружностей совпадают. Центр вписанной лежит на точке пересечения биссектрис треугольника, но в правильном треугольнике каждая из биссектрис является и медианой, следовательно, центр вписанной и описанной окружностей правильного треугольника – это и точка пересечения медиан этого треугольника. Медианы, пересекаясь, делятся как 2:1, считая от вершины треугольника. Получается, на радиус описанной окружности приходится две части, на радиус вписанной – одна часть, радиус описанной окружности равен двум радиусам вписанной R = 2r.
Разница между ними R – r = 2r – r = r = 7 см. То есть, 7 см и есть радиус вписанной окружности! Тогда радиус описанной окружности в два раза больше – это 14 см.
Прилагаю чертёж, по которому станет понятно.
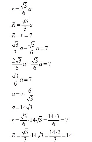
Если с использованием формул, то смотрите на втором приложенном изображении. Формулы для R и r через сторону правильного треугольника известны.

