• Предмет: Химия
  • Автор: Урстур
  • Вопрос задан 9 лет назад

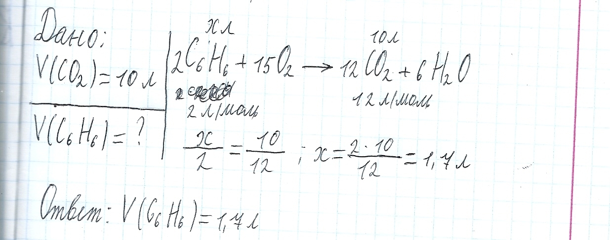
Сколько литров бензола сгорело, если при этом получилось 10 литров углекислого газа

Ответы

Ответ дал: MeDi0N
0
/////////////////////////////////////
Приложения:
Вас заинтересует