• Предмет: Математика
  • Автор: rusl9999
  • Вопрос задан 9 лет назад

cos2x/cosx - sin2x/sinx = преобразовать
Решение расписать!

Ответы

Ответ дал: beknur55
0
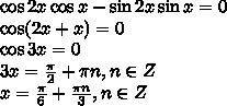
вот так или нет? Вот решение.
Приложения:
Ответ дал: rusl9999
0
Нет.Во первых тут умножение,во вторых это уравнение..
Вас заинтересует