Ответы
Ответ дал:
0
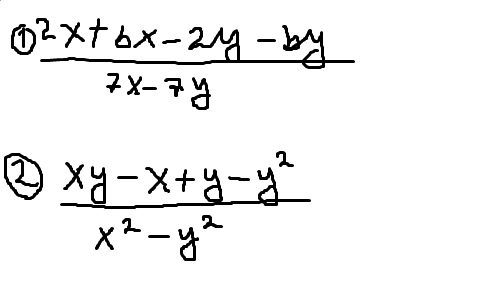
Сгруппируем члены числителя : (2х-2у +bx - by)/ 7*(x-y) = (2*(x-y) + b*(x-y))/ 7*(x-y)= ((x-y) * (2+b))/ 7*(x-y) сократим на x-y получится (2+b)/7
2) Сгруппируем числитель (xy - y^2 - x+y)/ (x-y)(x+y) = (y*(x-y)-x+y )/(x-y)(x+y) вынесу минус из под числителя, получится : -(y*(x-y)+x-y)/(x-y)* (x+y) = -(x-y)*(y+1)/(x-y)*(x+y) сократим на x-y получится : (y+1)/(x+y)
2) Сгруппируем числитель (xy - y^2 - x+y)/ (x-y)(x+y) = (y*(x-y)-x+y )/(x-y)(x+y) вынесу минус из под числителя, получится : -(y*(x-y)+x-y)/(x-y)* (x+y) = -(x-y)*(y+1)/(x-y)*(x+y) сократим на x-y получится : (y+1)/(x+y)
Вас заинтересует
3 года назад
8 лет назад
11 лет назад
11 лет назад