Ответы
Ответ дал:
0
решение на фото...........
Приложения:

Ответ дал:
0
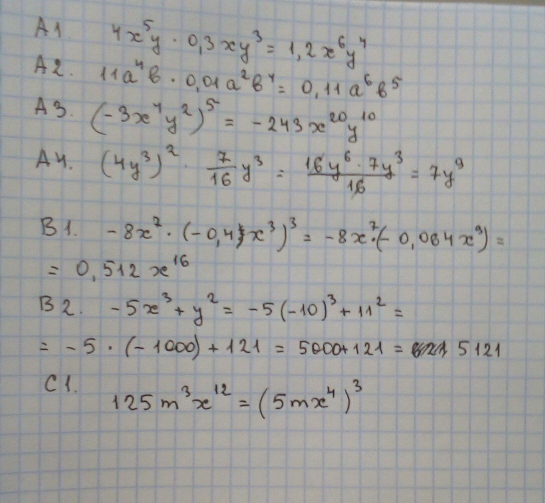
A1. 4x⁵y*0,3xy³= 1,2x⁶y⁴ (3)
A2. 11a⁴b*0,01a²b⁴= 0,11a⁶b⁵ (1)
A3. (-3x⁴y²)⁵= (-3)⁵*(x⁴)⁵*(y²)⁵= -243x²⁰y¹⁰ (4)
A4.
(1)
B1. -8x⁷*(-0,4x³)³= -8x⁷*(-0,064x⁹) = 0,512x¹⁶
B2. -5x³+y²= -5*(-10)³+(11)²= -5*(-1000)+121= 5000+121= 5121.
B3. (5mx⁴)³= 125m³x¹²
A2. 11a⁴b*0,01a²b⁴= 0,11a⁶b⁵ (1)
A3. (-3x⁴y²)⁵= (-3)⁵*(x⁴)⁵*(y²)⁵= -243x²⁰y¹⁰ (4)
A4.
B1. -8x⁷*(-0,4x³)³= -8x⁷*(-0,064x⁹) = 0,512x¹⁶
B2. -5x³+y²= -5*(-10)³+(11)²= -5*(-1000)+121= 5000+121= 5121.
B3. (5mx⁴)³= 125m³x¹²
Приложения:

Вас заинтересует
2 года назад
9 лет назад
9 лет назад
10 лет назад
10 лет назад