• Предмет: Алгебра
  • Автор: domashenko2001
  • Вопрос задан 11 лет назад

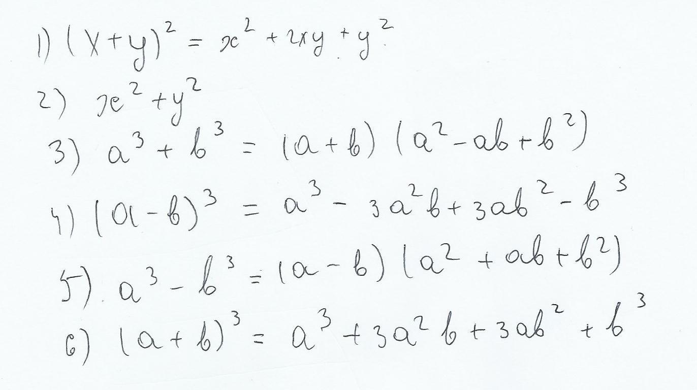
запишите выражение:
а) квадрат суммы чисел x u y;
б) сумма квадратов чисел x u y;
в) сумма кубов чисел а и б;
г) куб разности чисел а и б;
д) разность кубов чисел а и б;
е) куб суммы чисел а и в.

Ответы

Ответ дал: Аноним
0

 a)~ (x+y)^2\ b)~ x^2+y^2\ c)~ a^3+b^3\ d)~ (a-b)^3\ e)~ a^3-b^3\ g)~ (a+b)^3

Ответ дал: Нау4пок
0

Решение во вложении.

Приложения:
Вас заинтересует