Решите систему уравнения методом постановки. ПОЖАЛУЙСТА, Прошу.
7 класс
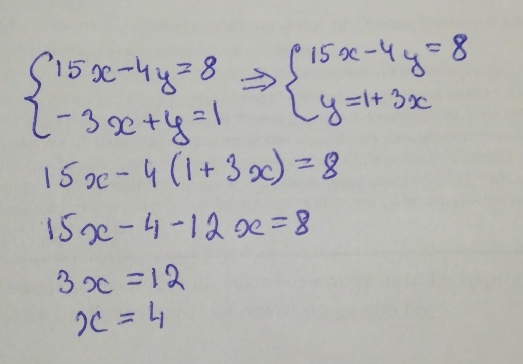
15x-4y=8
-3x+y=1
Приложения:

Ответы
Ответ дал:
0
y=1+3•4=13 (извини не сразу написал)
Дай пожалуйста "лучший ответ" :3 y
Дай пожалуйста "лучший ответ" :3 y
Приложения:

Вас заинтересует
2 года назад
2 года назад
3 года назад
3 года назад
9 лет назад
10 лет назад
10 лет назад