• Предмет: Алгебра
  • Автор: fruit221
  • Вопрос задан 9 лет назад

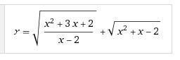
Найдите область определения функции пожалуйста!!!

Приложения:

Ответы

Ответ дал: mikael2
0
x²+3x+2/x-2≥0   x≠2   (x+1)(x+2)/(x-2)≥0

----------------  -2------------------- -1----------------------2---------------
       -                             +                        -                      +
x∈[-2;-1]∪(2;∞)

x²+x-2≥0   x1=-2   x2=1   x²+x-2=(x+2)(x-1)

-2-------------------- -1       2------------------1------
                  -                           -                       +

x∈[1;∞)
Вас заинтересует