Ответы
Ответ дал:
0
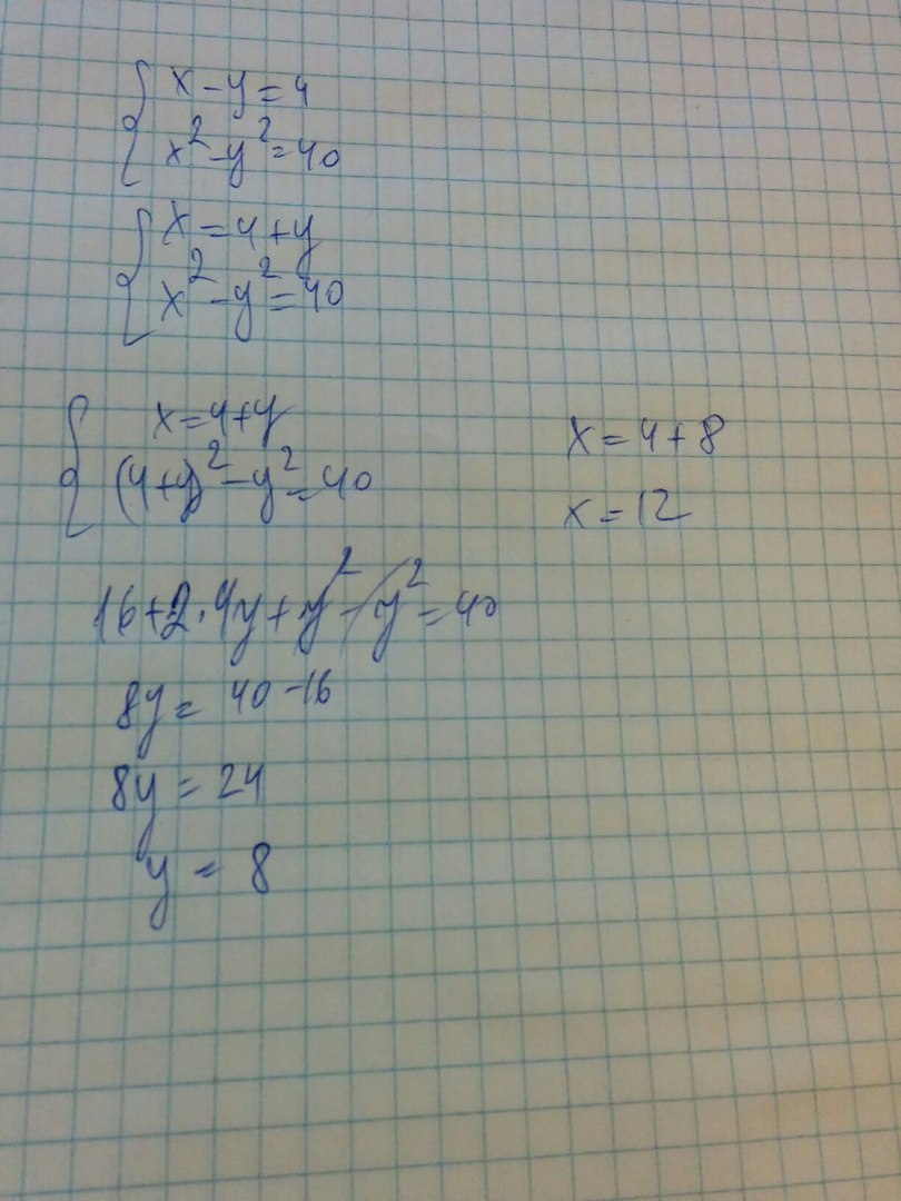
1. Представляем x = 4+y
2. Подставляем во 2 строку
3. Получаем y
4.Подставляем получившийся y в первую строку - находим x
Получилось x= 12
y=8
2. Подставляем во 2 строку
3. Получаем y
4.Подставляем получившийся y в первую строку - находим x
Получилось x= 12
y=8
Приложения:

Вас заинтересует
2 года назад
2 года назад
3 года назад
3 года назад
9 лет назад
9 лет назад
10 лет назад