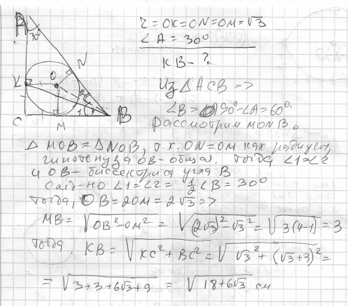
Окружность радиуса корня из 3, вписанная в прямоугольный треугольник АВС с углом А равному тридцати градусам, касается катета АС с точке К. Найти ВК.
Ответы
Ответ дал:
0
Окружность радиуса корня из 3, вписанная в прямоугольный треугольник АВС с углом А равному тридцати градусам, касается катета АС с точке К. Найти ВК.
Приложения:

Вас заинтересует
2 года назад
2 года назад
8 лет назад
10 лет назад
10 лет назад
10 лет назад