• Предмет: Математика
  • Автор: nkaschirina
  • Вопрос задан 9 лет назад

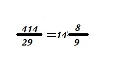
Запиши частное в виде смешанного числа.

414:29=

Ответы

Ответ дал: viktoriay5687
0
вот как то так, 414 делить на 29 равно 14 целых восемь девятых
Приложения:
Вас заинтересует