Ответы
Ответ дал:
0
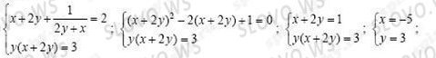
В предложенном решении первое уравнение

домножают на

после чего получается

далее сворачивается в полный квадрат

подставляем во второе

и

Добавлю еще свой вариант решения


домножают на
после чего получается
далее сворачивается в полный квадрат
подставляем во второе
и
Добавлю еще свой вариант решения
Ответ дал:
0
Спасибо большое
Вас заинтересует
2 года назад
3 года назад
9 лет назад
9 лет назад
10 лет назад
10 лет назад