• Предмет: Алгебра
  • Автор: azamyldashev1
  • Вопрос задан 9 лет назад

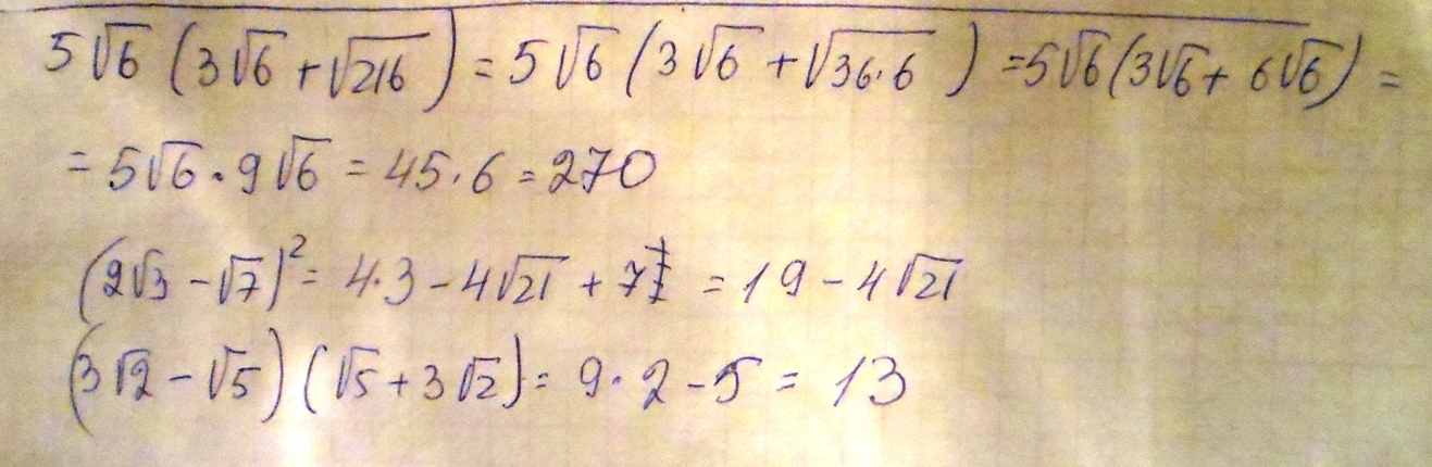
упростить выражение!
б,в,г

Приложения:

Ответы

Ответ дал: miron2077
0
!!!!!!!!!!!!!!!!!!!!!!!!!!
Приложения:
Ответ дал: azamyldashev1
0
спасибо
Ответ дал: miron2077
0
пожалуйста
Вас заинтересует