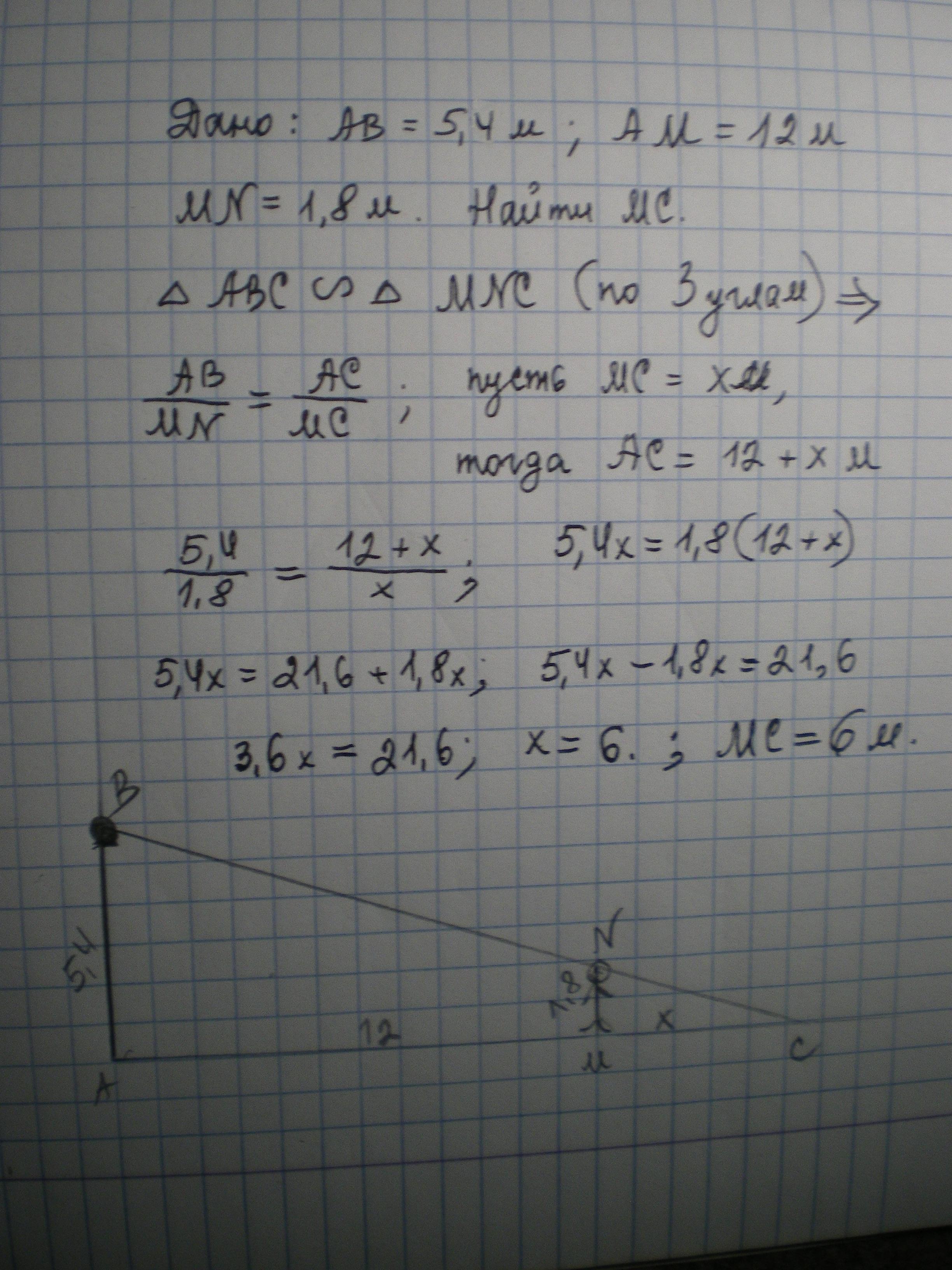
Человек ростом 1.8 метров стоит на расстоянии 12 метров от столба, на котором висит фонарь на высоте 5.4 метра. Найдите длину тени человека в метрах
Ответы
Ответ дал:
0
Ответ:
6 м.
Пошаговое объяснение:
Пусть АВ - столб, МN - человек, МС - тень.
Приложения:

Вас заинтересует
2 года назад
3 года назад
3 года назад
9 лет назад
10 лет назад
10 лет назад