Помогите решить пожалуйста
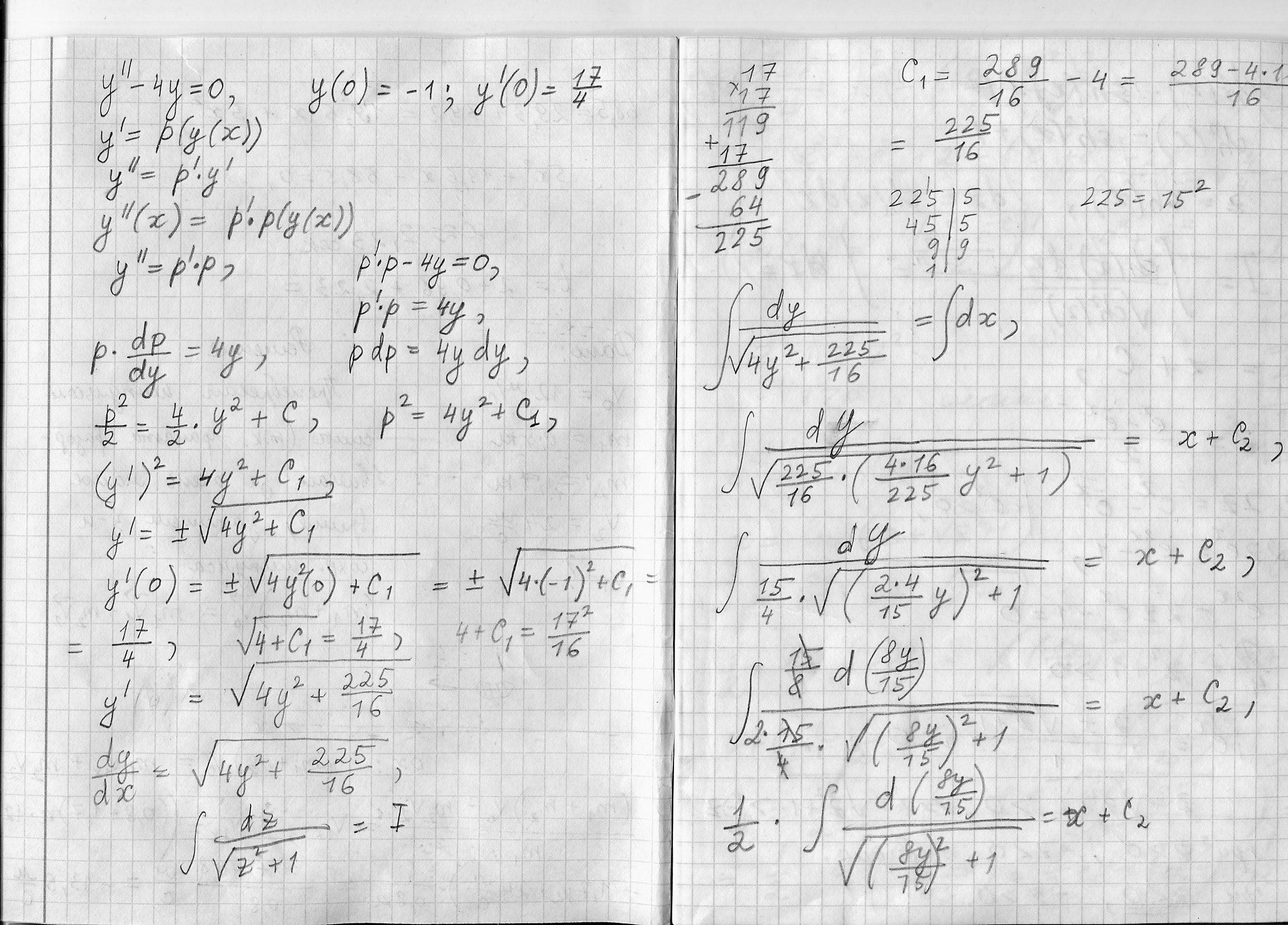
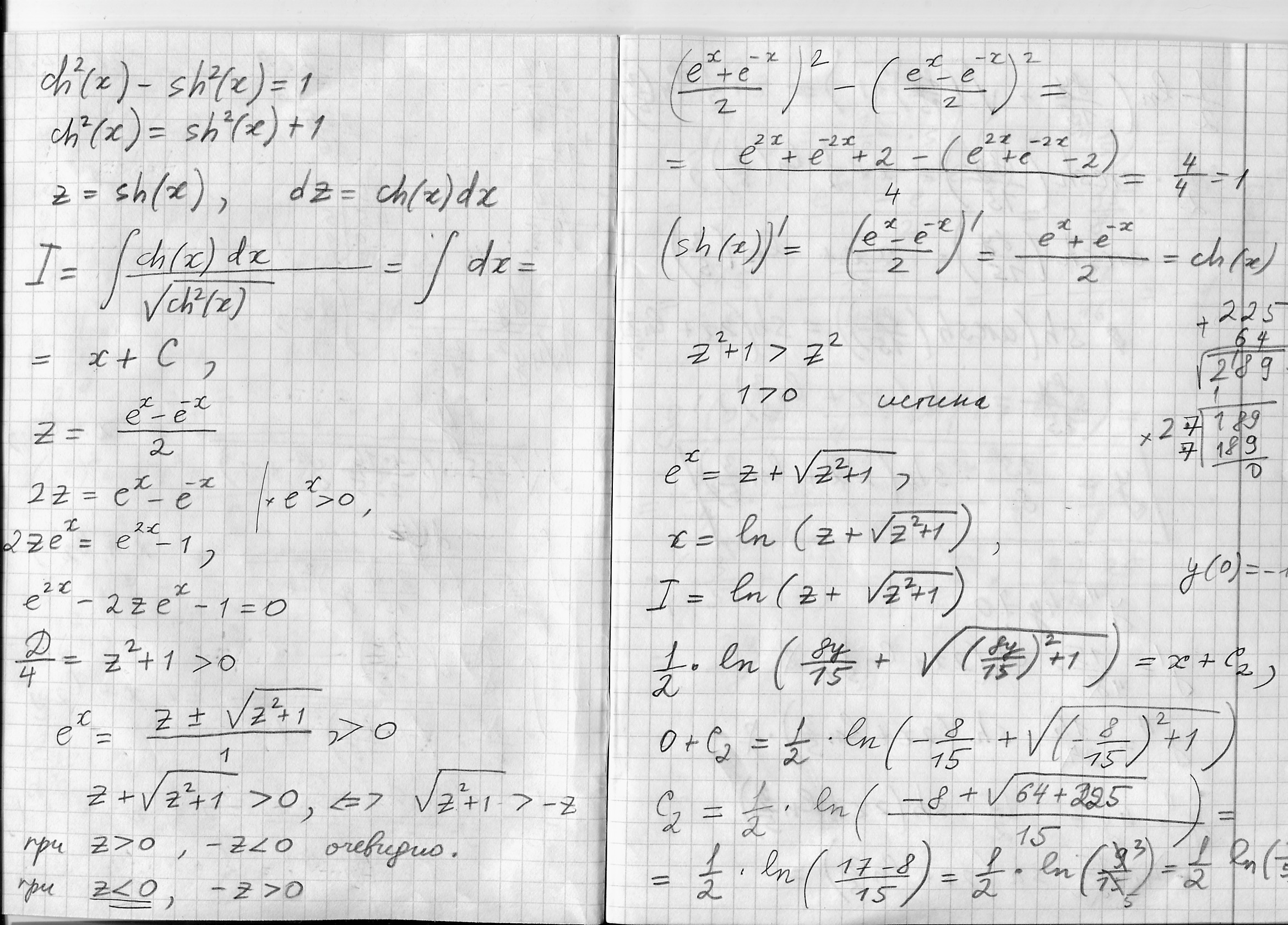
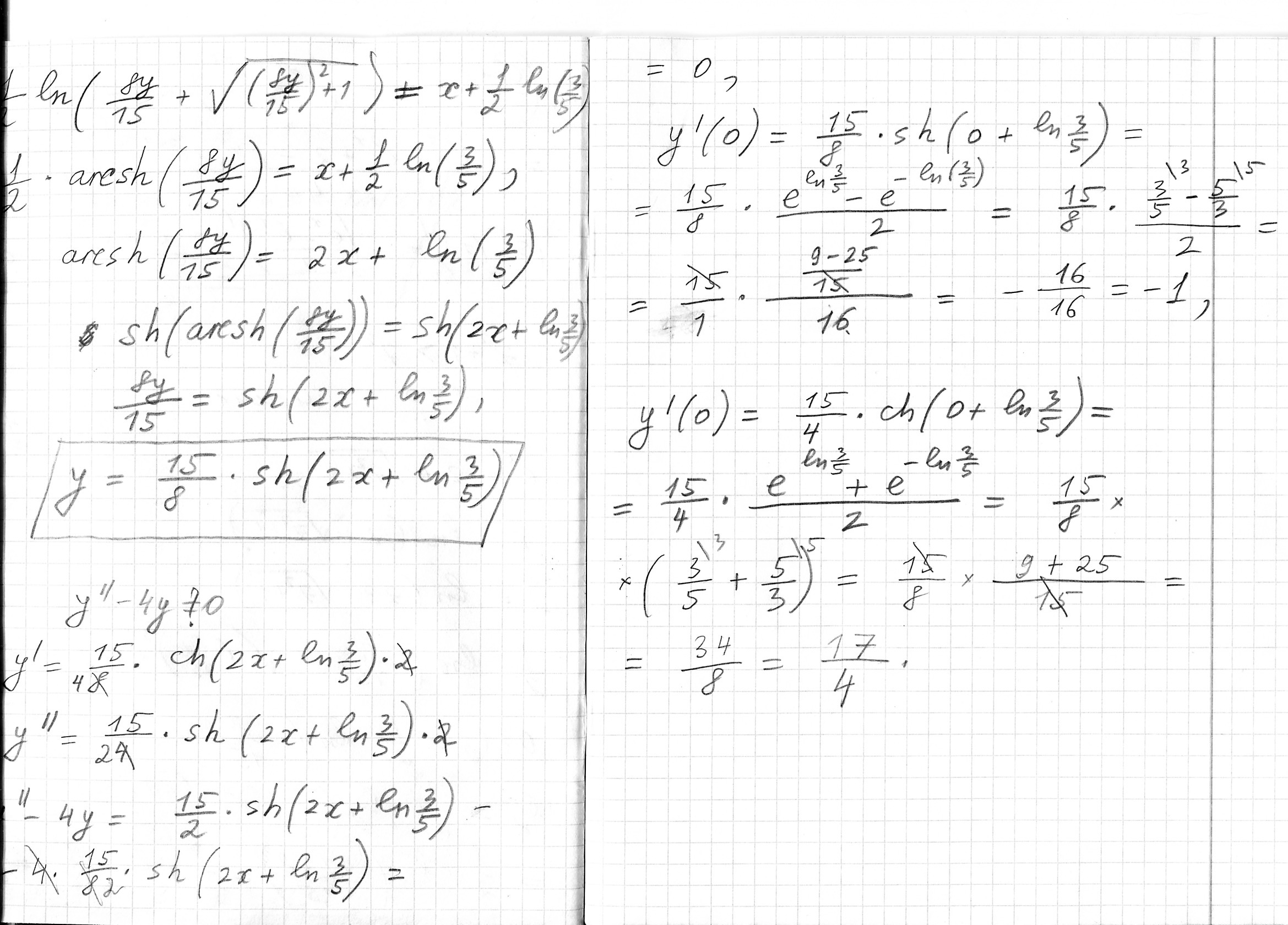
Найти частное решение дифференциального уравнения первого порядка, удовлетворяющего начальные условия. y''-4y=0,y(0)=-1,y'=(0)=17/4
Ответы
Ответ дал:
0
Я написал решение на 3х листках...
Приложения:
Ответ дал:
0
мы легких путей не ищем! а вообще, упражняться надо.
Ответ дал:
0
Я вас не осуждаю, но владением разных способов - тоже ищем!
Ответ дал:
0
К тому же, ответы у нас должны совпать!
Ответ дал:
0
совпадать!
Ответ дал:
0
а ответы (если присмотреться) совпадают.
Ответ дал:
0
Небольшая поправка. По условию дано именно дифференциальное уравнение второго порядка! Из исходного условия можно понять, что это ДУ второго порядка с постоянными коэффициентами, однородное!!!!
Осуществив замену
, получим следующее характеристическое уравнение.


Тогда общее решение однородного уравнения примет вид:
.
Осталось найти частное решение, подставив начальные условия

откуда 
ЧАСТНОЕ РЕШЕНИЕ:
Осуществив замену
Тогда общее решение однородного уравнения примет вид:
Осталось найти частное решение, подставив начальные условия
ЧАСТНОЕ РЕШЕНИЕ:
Приложения:
Вас заинтересует
2 года назад
2 года назад
3 года назад
3 года назад
9 лет назад
9 лет назад
10 лет назад