• Предмет: Математика
  • Автор: dianafazlyeva
  • Вопрос задан 9 лет назад

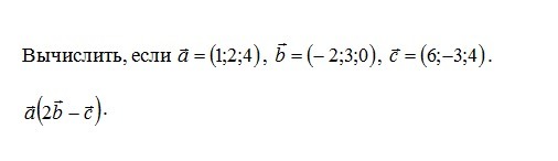
Прошу помочь с Математикой СРОЧНО
Спасибо заранее!

Приложения:

Ответа на этот вопрос пока нет. Попробуйте найти его через форму поиска.

Вас заинтересует