Ответы
Ответ дал:
0
Вычисление радиуса окружности, описанной вокруг треугольника:
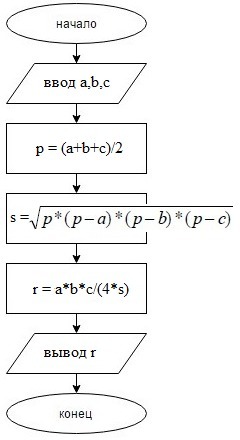
Блок-схема - в прилагаемом файле.
var a,b,c,p,s,r:real;
begin
readln(a,b,c);
p:=(a+b+c)/2;
s:=sqrt(p*(p-a)*(p-b)*(p-c));
r:=a*b*c/(4*s);
writeln('R = ',r:5:2);
end.
Пример:
3 4 5
R = 2.50
Блок-схема - в прилагаемом файле.
var a,b,c,p,s,r:real;
begin
readln(a,b,c);
p:=(a+b+c)/2;
s:=sqrt(p*(p-a)*(p-b)*(p-c));
r:=a*b*c/(4*s);
writeln('R = ',r:5:2);
end.
Пример:
3 4 5
R = 2.50
Приложения:
Вас заинтересует
2 года назад
2 года назад
3 года назад
3 года назад
9 лет назад
9 лет назад
10 лет назад
10 лет назад