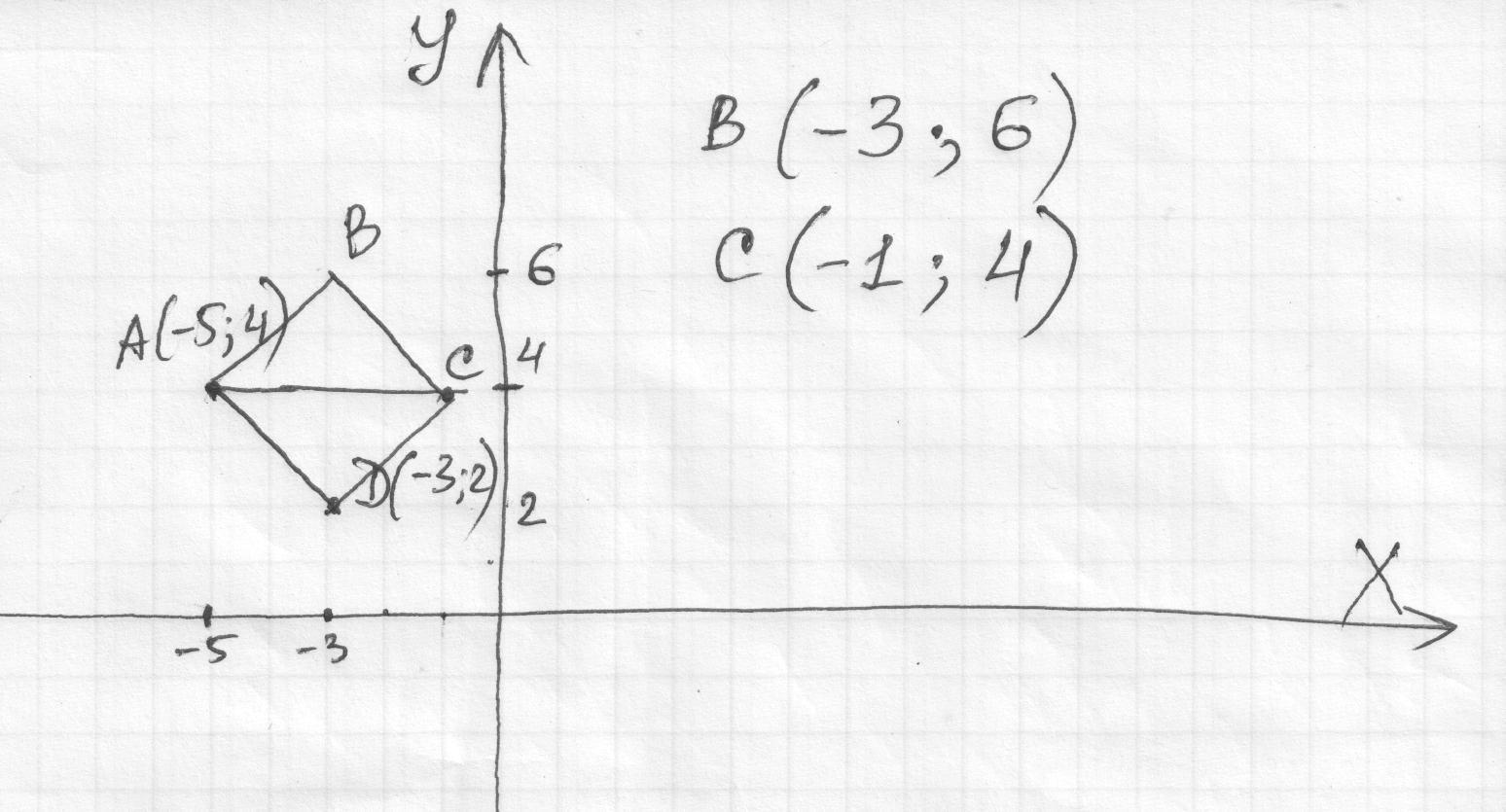
дві суміжні вершини квадрата ABCD знаходяться у точках A(-5,4) і D(-3,2), а йогодіагональ AC паралельна осі OX. визначити координати двох інших вершин
Ответы
Ответ дал:
0
Ответ в прикрепленном файле
Приложения:
Вас заинтересует
2 года назад
2 года назад
3 года назад
3 года назад
9 лет назад
9 лет назад
10 лет назад