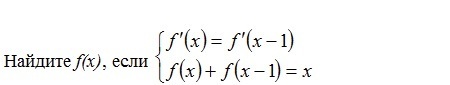
Ответы
Ответ дал:
0
Решение:
f=0
fx+f*(x-1)=x
0x+0(x-1)=1
x=0
(f,x)=(0,0)
Проверка:
0*0=0(0-1)
0*0+0(0-1)=0
0=0
0=0
Ответ: (f,x)=(0,0)
f=0
fx+f*(x-1)=x
0x+0(x-1)=1
x=0
(f,x)=(0,0)
Проверка:
0*0=0(0-1)
0*0+0(0-1)=0
0=0
0=0
Ответ: (f,x)=(0,0)
Вас заинтересует
2 года назад
9 лет назад
9 лет назад
10 лет назад