• Предмет: Информатика
  • Автор: Alinochapersik
  • Вопрос задан 9 лет назад

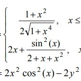
Записать эти 3 формулы в excel. Мне только нужно знать, как они выглядят в строке

Приложения:

Ответа на этот вопрос пока нет. Попробуйте найти его через форму поиска.

Вас заинтересует