• Предмет: Математика
  • Автор: Чайка225
  • Вопрос задан 9 лет назад

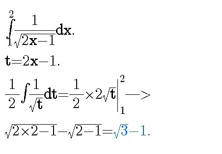
Интеграл в пределах 2 и 1 dx/sqrt(2x-1). Как решить, помогите

Ответы

Ответ дал: BETTELGEUSE
0
смотри на фото.......
Приложения:
Вас заинтересует