• Предмет: Физика
  • Автор: sergeysuworin
  • Вопрос задан 9 лет назад

СРОЧНО ХЕЛП 50 баллов
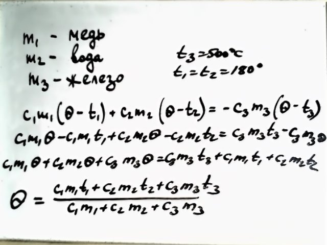
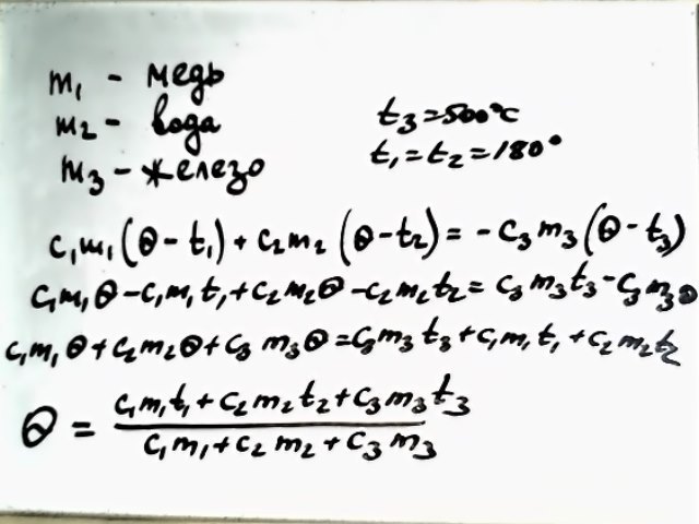
В медном калориметре, масса которого
m1=200г, содержится m2=150г воды при t1=180С.
Определите конечную температуру воды, если в
калориметр опустили железный цилиндр массой m3=100г,
нагретый до температуры t3=500С.

Ответы

Ответ дал: elimofetoyp1j9
0
приложение
решение в приложении
Приложения:
Ответ дал: sergeysuworin
0
Спасибо, жаль что только не то
Ответ дал: kohan1750
0
Ответ: конечная температура воды 200С
Приложения:
Ответ дал: sergeysuworin
0
Не то(
Ответ дал: kohan1750
0
Не то? А можно конкретно: ответ не правильный или что?
Ответ дал: sergeysuworin
0
задача снизу)
Ответ дал: sergeysuworin
0
ответ мб и правильный
Вас заинтересует