• Предмет: Математика
  • Автор: бой10
  • Вопрос задан 9 лет назад

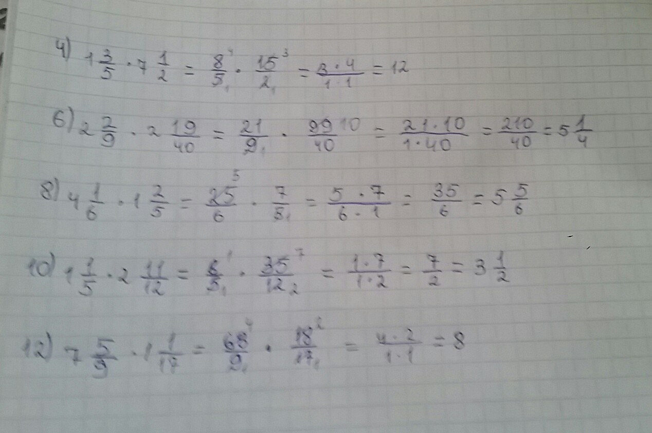
4.6.8.10.12 номера сделать

Приложения:

Ответы

Ответ дал: Лосось0028
0
4)12
6)5 1/4
8)5 5/6
10)3 1/2
12)8
Приложения:
Ответ дал: бой10
0
спасибо
Вас заинтересует