Ответы
Ответ дал:
0
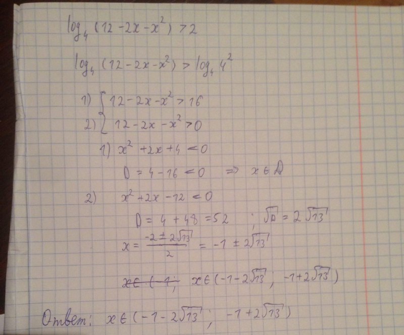
Решение прикрепил.
Общая концепция такова:
Приводим обе части к логарифму с одинаковым основанием и приравниваем его "внутренности".
Не забываем про ОДЗ (то,что внутри логарифма, должно быть больше 0)
Общая концепция такова:
Приводим обе части к логарифму с одинаковым основанием и приравниваем его "внутренности".
Не забываем про ОДЗ (то,что внутри логарифма, должно быть больше 0)
Приложения:

Ответ дал:
0
Выручил
Ответ дал:
0
Отметь как лучшее)
Ответ дал:
0
Опа, постой, я ошибку нашел. Там корней нет. Когда решаешь уравнение 1), там D<0, следовательно, все значения положительны, а нам нужны отрицательные значения. Следовательно, корней нет
Ответ дал:
0
Решим методом интервалов
Приложения:

Ответ дал:
0
У тебя ошибка в ОДЗ, точнее, опечатка. Было корень52, стало корень54. Думаю, это из-за почерка ;)
Ответ дал:
0
Верно. Спешу
Вас заинтересует
3 года назад
3 года назад
9 лет назад
9 лет назад
10 лет назад
10 лет назад