• Предмет: Алгебра
  • Автор: saha202000
  • Вопрос задан 9 лет назад

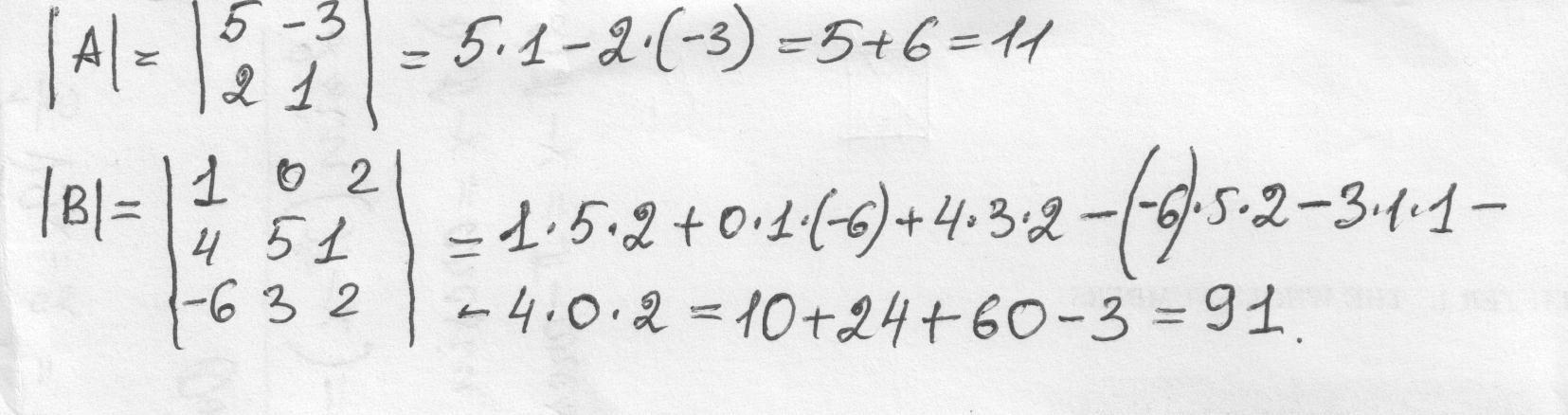
Помогите Решить Определители

Приложения:

Ответы

Ответ дал: xERISx
0
Определители матриц 2 и 3 порядка
Приложения:
Ответ дал: saha202000
0
спасибо
Вас заинтересует