8 вариант. Пожалуйста если можно напишите на листочке и скинте фотку=( не понимаю в значках компьютерных... срочно нужно(((
Приложения:
Ответы
Ответ дал:
0
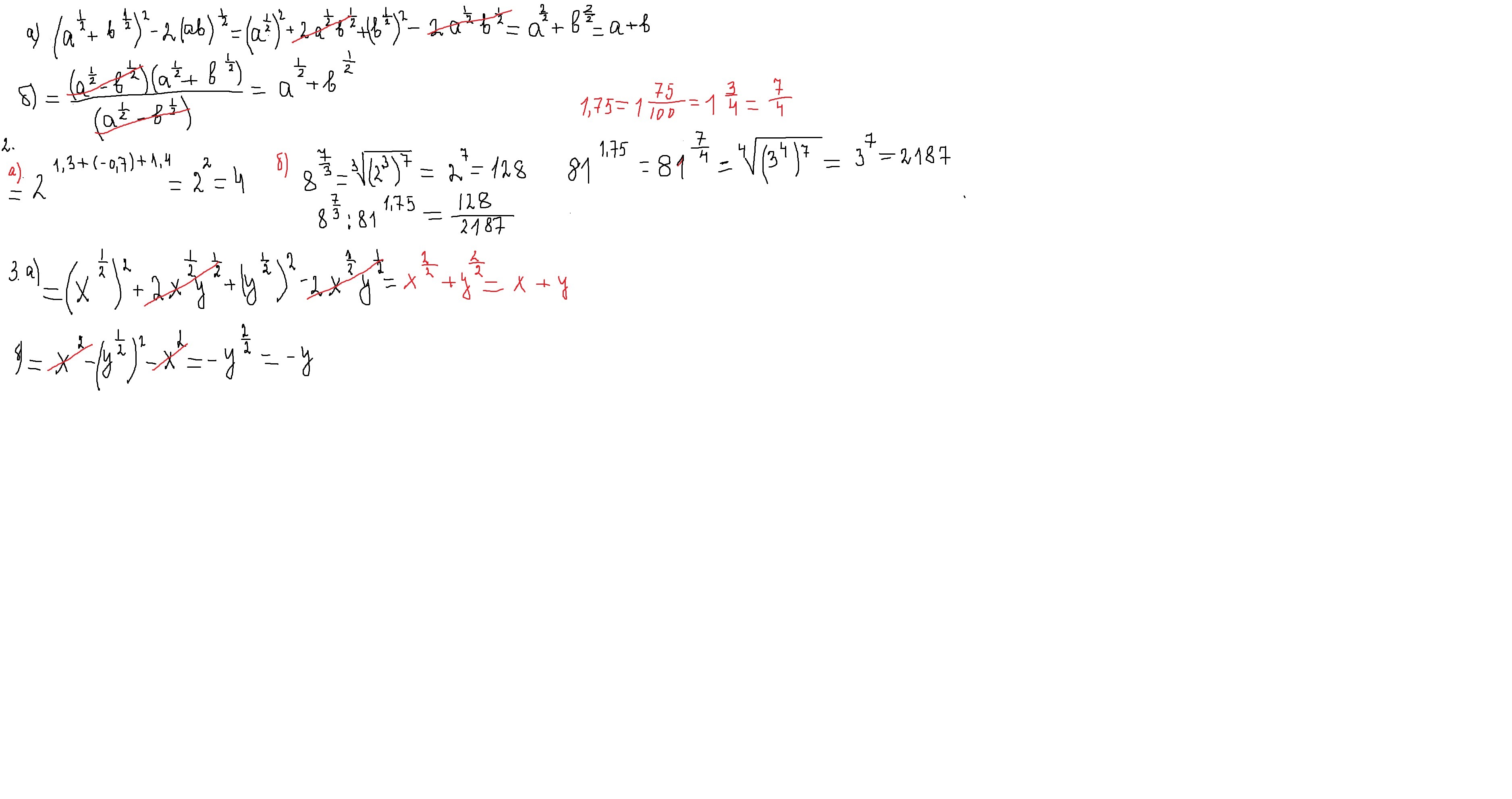
применяем формулы (а+в)²=а²+2ав+в² и а²-в²=(а-в)(а+в)
Приложения:
Вас заинтересует
2 года назад
2 года назад
3 года назад
9 лет назад
9 лет назад
10 лет назад
10 лет назад