Ответы
Ответ дал:
0
1)

т.к.
модуль раскрываем и меняем местами уменьшаемое и вычитаемое


2)
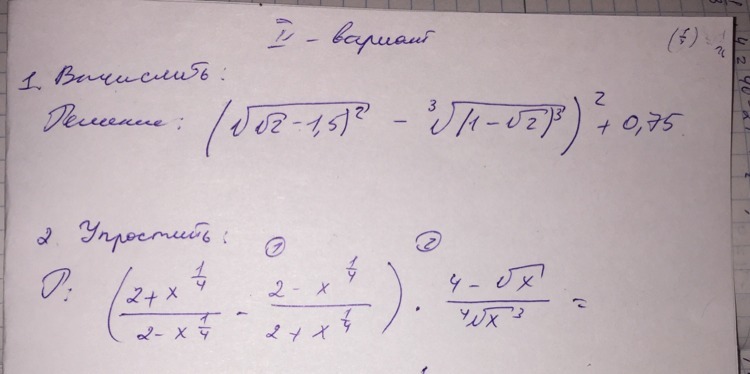
![( frac{2+x ^{ frac{1}{4} } }{2-x ^{ frac{1}{4}} } - frac{2-x ^{ frac{1}{4} } }{2+x ^{ frac{1}{4}} })* frac{4- sqrt{x} }{ sqrt[4]{ x^{3} } } = ( frac{2+x ^{ frac{1}{4} } }{2-x ^{ frac{1}{4}} } - frac{2-x ^{ frac{1}{4} } }{2+x ^{ frac{1}{4}} })* frac{4- sqrt{x} }{ sqrt[4]{ x^{3} } } =](https://tex.z-dn.net/?f=%28+frac%7B2%2Bx+%5E%7B+frac%7B1%7D%7B4%7D+%7D+%7D%7B2-x+%5E%7B+frac%7B1%7D%7B4%7D%7D+%7D+-+frac%7B2-x+%5E%7B+frac%7B1%7D%7B4%7D+%7D+%7D%7B2%2Bx+%5E%7B+frac%7B1%7D%7B4%7D%7D+%7D%29%2A+frac%7B4-+sqrt%7Bx%7D+%7D%7B+sqrt%5B4%5D%7B+x%5E%7B3%7D+%7D+%7D++%3D+)
![( frac{(2+x ^{ frac{1}{4} })(2+x ^{ frac{1}{4}}) }{(2-x ^{ frac{1}{4}} )(2+x ^{ frac{1}{4}})} - frac{(2-x ^{ frac{1}{4} })(2-x ^{ frac{1}{4}}) }{(2+x ^{ frac{1}{4}})(2-x ^{ frac{1}{4}}) })* frac{4- sqrt{x} }{ sqrt[4]{ x^{3} } } = ( frac{(2+x ^{ frac{1}{4} })(2+x ^{ frac{1}{4}}) }{(2-x ^{ frac{1}{4}} )(2+x ^{ frac{1}{4}})} - frac{(2-x ^{ frac{1}{4} })(2-x ^{ frac{1}{4}}) }{(2+x ^{ frac{1}{4}})(2-x ^{ frac{1}{4}}) })* frac{4- sqrt{x} }{ sqrt[4]{ x^{3} } } =](https://tex.z-dn.net/?f=%28+frac%7B%282%2Bx+%5E%7B+frac%7B1%7D%7B4%7D+%7D%29%282%2Bx+%5E%7B+frac%7B1%7D%7B4%7D%7D%29+%7D%7B%282-x+%5E%7B+frac%7B1%7D%7B4%7D%7D+%29%282%2Bx+%5E%7B+frac%7B1%7D%7B4%7D%7D%29%7D+-+frac%7B%282-x+%5E%7B+frac%7B1%7D%7B4%7D+%7D%29%282-x+%5E%7B+frac%7B1%7D%7B4%7D%7D%29+%7D%7B%282%2Bx+%5E%7B+frac%7B1%7D%7B4%7D%7D%29%282-x+%5E%7B+frac%7B1%7D%7B4%7D%7D%29+%7D%29%2A+frac%7B4-+sqrt%7Bx%7D+%7D%7B+sqrt%5B4%5D%7B+x%5E%7B3%7D+%7D+%7D++%3D+)
![frac{(2+x ^{ frac{1}{4} })^2 - (2-x ^{ frac{1}{4} })^2 }{4-x ^{ frac{1}{2}}} }* frac{4- sqrt{x} }{ sqrt[4]{ x^{3} } } = frac{(2+x ^{ frac{1}{4} })^2 - (2-x ^{ frac{1}{4} })^2 }{4-x ^{ frac{1}{2}}} }* frac{4- sqrt{x} }{ sqrt[4]{ x^{3} } } =](https://tex.z-dn.net/?f=frac%7B%282%2Bx+%5E%7B+frac%7B1%7D%7B4%7D+%7D%29%5E2+-+%282-x+%5E%7B+frac%7B1%7D%7B4%7D+%7D%29%5E2+%7D%7B4-x+%5E%7B+frac%7B1%7D%7B2%7D%7D%7D+%7D%2A+frac%7B4-+sqrt%7Bx%7D+%7D%7B+sqrt%5B4%5D%7B+x%5E%7B3%7D+%7D+%7D++%3D+)
![frac{4+4x^{ frac{1}{4} }+ x^{ frac{1}{2} } - 4+4x^{ frac{1}{4} }- x^{ frac{1}{2} } }{4- sqrt{x} } }* frac{4- sqrt{x} }{ sqrt[4]{ x^{3} } } = frac{4+4x^{ frac{1}{4} }+ x^{ frac{1}{2} } - 4+4x^{ frac{1}{4} }- x^{ frac{1}{2} } }{4- sqrt{x} } }* frac{4- sqrt{x} }{ sqrt[4]{ x^{3} } } =](https://tex.z-dn.net/?f=frac%7B4%2B4x%5E%7B+frac%7B1%7D%7B4%7D+%7D%2B+x%5E%7B+frac%7B1%7D%7B2%7D+%7D++-+4%2B4x%5E%7B+frac%7B1%7D%7B4%7D+%7D-+x%5E%7B+frac%7B1%7D%7B2%7D+%7D+%7D%7B4-+sqrt%7Bx%7D+%7D+%7D%2A+frac%7B4-+sqrt%7Bx%7D+%7D%7B+sqrt%5B4%5D%7B+x%5E%7B3%7D+%7D+%7D++%3D+)
![frac{8x^{ frac{1}{4} } }{1} * frac{1 }{ sqrt[4]{ x^{3} } } = frac{8x^{ frac{1}{4} } }{1} * frac{1 }{ sqrt[4]{ x^{3} } } =](https://tex.z-dn.net/?f=+frac%7B8x%5E%7B+frac%7B1%7D%7B4%7D+%7D+%7D%7B1%7D+%2A+frac%7B1+%7D%7B+sqrt%5B4%5D%7B+x%5E%7B3%7D+%7D+%7D++%3D+)
![frac{8sqrt[4]{x} }{sqrt[4]{ x^{3}}} = frac{8sqrt[4]{x} }{sqrt[4]{ x^{3}}} =](https://tex.z-dn.net/?f=+frac%7B8sqrt%5B4%5D%7Bx%7D+%7D%7Bsqrt%5B4%5D%7B+x%5E%7B3%7D%7D%7D++%3D+)
![= 8* sqrt[4]{ frac{x}{x^3} } = = 8* sqrt[4]{ frac{x}{x^3} } =](https://tex.z-dn.net/?f=+%3D+8%2A+sqrt%5B4%5D%7B+frac%7Bx%7D%7Bx%5E3%7D+%7D++%3D+)
![= 8* sqrt[4]{ frac{1}{x^2} } = = 8* sqrt[4]{ frac{1}{x^2} } =](https://tex.z-dn.net/?f=+%3D+8%2A+sqrt%5B4%5D%7B+frac%7B1%7D%7Bx%5E2%7D+%7D++%3D+)


или

т.к.
2)
или
Приложения:


Ответ дал:
0
А вы не можете написать на бумаге а потом отпр сюда
Ответ дал:
0
Вот именно второе не понятно
Ответ дал:
0
качество не очень, но зато видно)
Ответ дал:
0
Спасибо большое
Ответ дал:
0
))
Вас заинтересует
2 года назад
2 года назад
3 года назад
3 года назад
10 лет назад