• Предмет: Алгебра
  • Автор: енот252
  • Вопрос задан 9 лет назад

упростите, пожалуйста
ОЧЕНЬ СРОЧНО
АЛГЕБРА 10 КЛАСС

Приложения:

Ответы

Ответ дал: Universalka
0
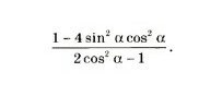
 frac{1-4Sin ^{2} alpha Cos ^{2} alpha   }{2Cos ^{2}  alpha -1}= frac{Sin ^{2} alpha +Cos ^{2} alpha -4Sin ^{2}  alpha Cos ^{2} alpha }{Cos2 alpha }=    frac{(Sin ^{2} alpha-2Sin ^{2} alpha Cos ^{2} alpha )+(Cos ^{2}  alpha-2Sin ^{2} alpha Cos ^{2} alpha ) }{Cos2 alpha }=  frac{Sin ^{2} alpha (1-2Cos ^{2} alpha )+Cos ^{2} alpha (1-2Sin ^{2}  alpha )   }{Cos2 alpha } = frac{Sin ^{2} alpha *(-Cos2 alpha)+Cos ^{2}  alpha *Cos2 alpha   }{Cos2 alpha } = frac{Cos2 alpha(Cos ^{2}  alpha -Sin ^{2}  alpha ) }{Cos2 alpha } = Cos ^{2} alpha -Sin ^{2}  alpha =Cos2 alpha
Вас заинтересует