• Предмет: Алгебра
  • Автор: future111
  • Вопрос задан 9 лет назад

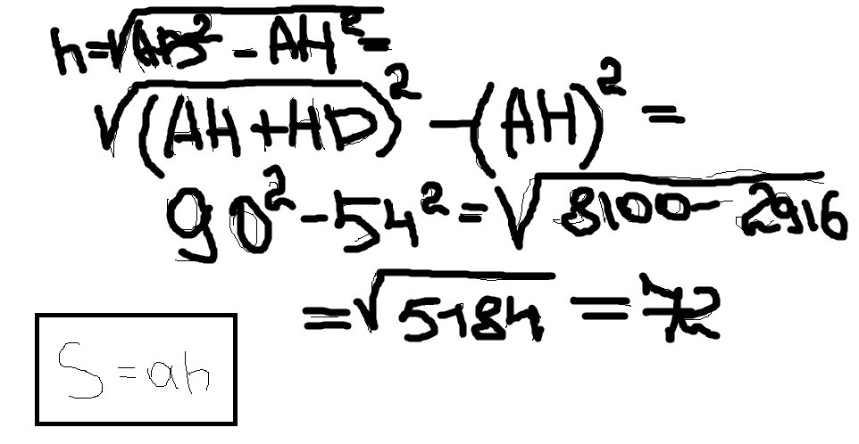
Высота BH ромба ABCD делит его сторону AD на отрезки AH=54 и HD=36 . Найдите площадь ромба.

Ответы

Ответ дал: GERZEN
0
По теореме Пифагора
====
Приложения:
Ответ дал: future111
0
спасибо
Вас заинтересует