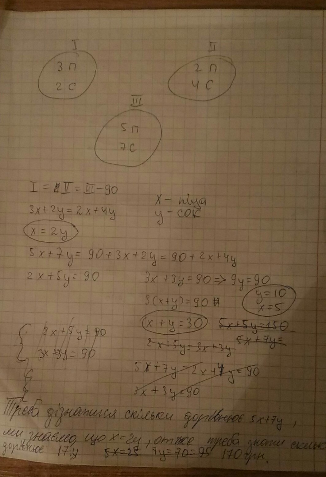
У ПІЦЕРІЇ ЗА ПЕРШИМ СТОЛИКОМ ЗАМОВИЛИ 3 ПІЦИ ТА 2 СОКА, ЗА ДРУГИМ СТОЛИКОМ - 2 ПІЦИ І 4 СОКА, А ЗА ТРЕТІМ - 5 ПІЦ І 7 СКЛЯНОК СОКУ. УСІ ЗАМОВЛЕННІ ПІЦИ І СОКИ ОДНАКОВІ. ГОСТІ ЗА ПЕРШИМ СТОЛИКОМ ТА ЗА ДРУГИМ ЗАПЛАТИЛИ ОДНАКОВУ СУМУ ГРОШЕЙ, АЛЕ НА 90 ГРН МЕНШЕ НІЖ ГОСТІ ЗА ТРЕТІМ СТОЛИКОМ. СКІЛЬКИ ГРИВЕНЬ ЗАПЛАТИЛИ ЗА ТРЕТІМ СТОЛИКОМ?
Ответы
Ответ дал:
0
170 гривень. нажмите "Спасибо"
Приложения:

Вас заинтересует
2 года назад
3 года назад
10 лет назад
10 лет назад