• Предмет: Алгебра
  • Автор: fdsfsdfsd1
  • Вопрос задан 9 лет назад

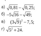
решите задания с корнями. много баллов

Приложения:

Ответы

Ответ дал: karlmikhailoff
0
а) 0,9- 0,5=0,4
б) -5 * 4- 7=-20-7=-27
в)9 * 9- 7,5=81 -7,5= 73, 5
г) √25+24= √49=7
Ответ дал: karlmikhailoff
0
условие не писала, сразу решение
Вас заинтересует