• Предмет: Математика
  • Автор: татана1
  • Вопрос задан 9 лет назад

помогите пожалуйста, в решении данного примера. спасибо. большое заранее

Приложения:

Ответы

Ответ дал: barenzi
0
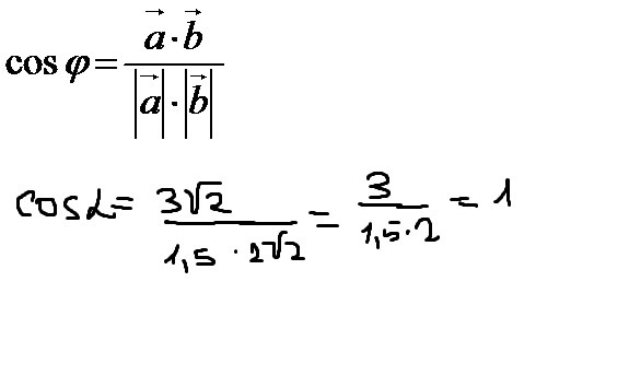
Решение во вложении
1111111111111111111
Приложения:
Вас заинтересует