• Предмет: Геометрия
  • Автор: ki4ara
  • Вопрос задан 9 лет назад

НУЖНО ПОБЫСТРЕЕ). Отдам 50 балов

Приложения:

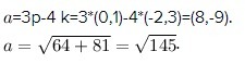
Ответы

Ответ дал: den192107
0
3 не знаю, прости! (
Приложения:
Вас заинтересует