• Предмет: Алгебра
  • Автор: dewekibivo
  • Вопрос задан 9 лет назад

помогите, пожалуйста!

Приложения:

Ответы

Ответ дал: eugeke
0
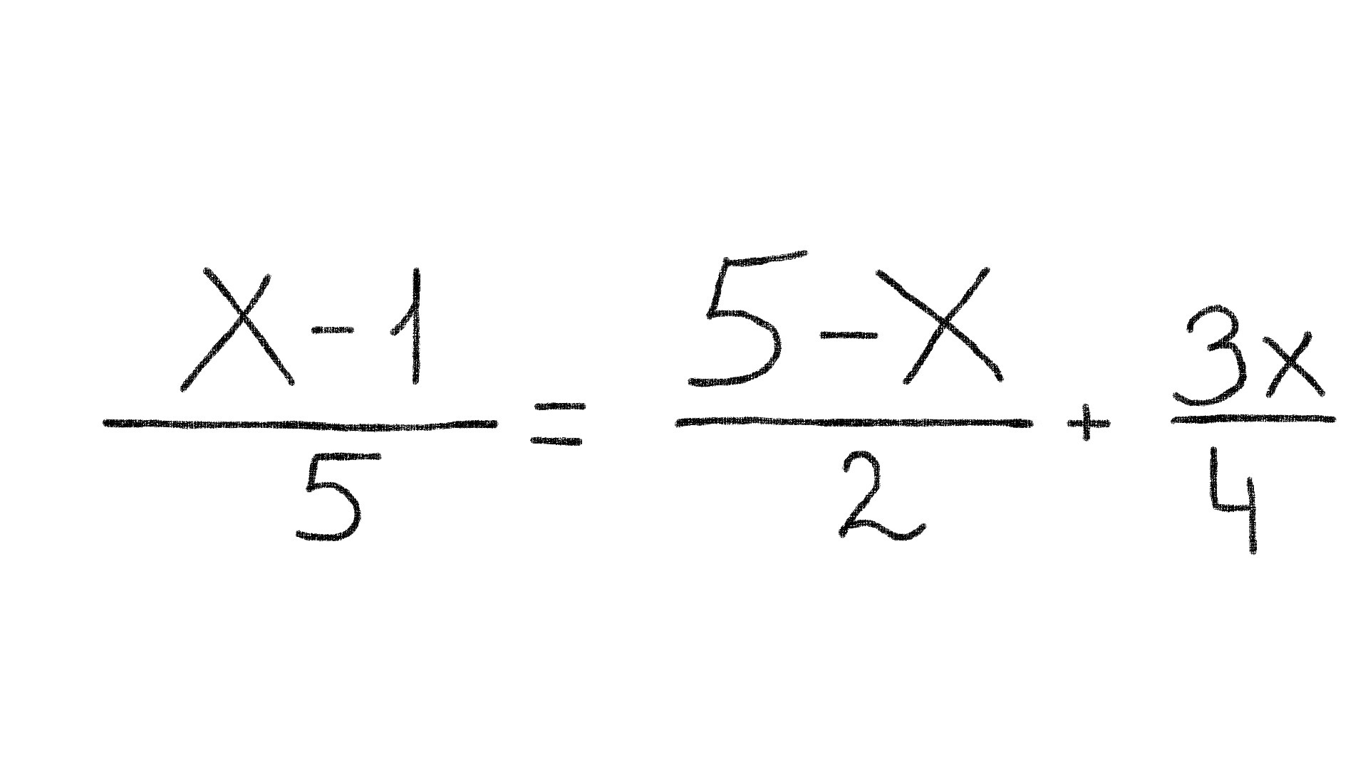
 frac{x-1}{5} = frac{5-x}{2}  +frac{3x}{4}   |(cdot 20)\\
20cdot  frac{x-1}{5} = 20cdot frac{5-x}{2}  +20 cdot frac{3x}{4}\\
4x-4=50-10x+15x\\
4x-4=50+5x\\
4x-5x=50+4\\
-x=54\ \x=-54

Если не отображается корректно, то обновите страницу
Ответ дал: dewekibivo
0
спасибо!
Ответ дал: dewekibivo
0
всё отображается корректно, ещё раз спасибо! ^^
Ответ дал: eugeke
0
Всегда пожалуйста!
Вас заинтересует