Помогите хоть с чем-то пожалуйста.
1) Решить неравенство:
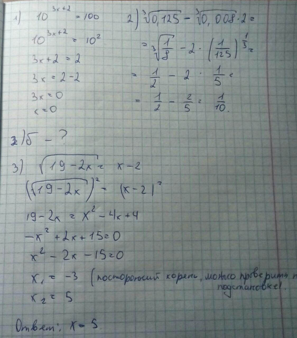
10^3x+2 больше или равно 100
2) Вычислить
а) ∛0,125 - 2 * ∛0,008
б) (3 3/8)^-1,6 /(〖9/27)〗^1,6
3) Решить уравнение:
√(19-2X)= x-2
Ответы
Ответ дал:
0
Готово. Ответ на фото. (всё кроме 2б)
Приложения:

Ответ дал:
0
Благодарю))*)
Ответ дал:
0
Пожалуйста
Вас заинтересует
2 года назад
2 года назад
3 года назад
3 года назад
9 лет назад