• Предмет: Алгебра
  • Автор: tsukhaya
  • Вопрос задан 9 лет назад

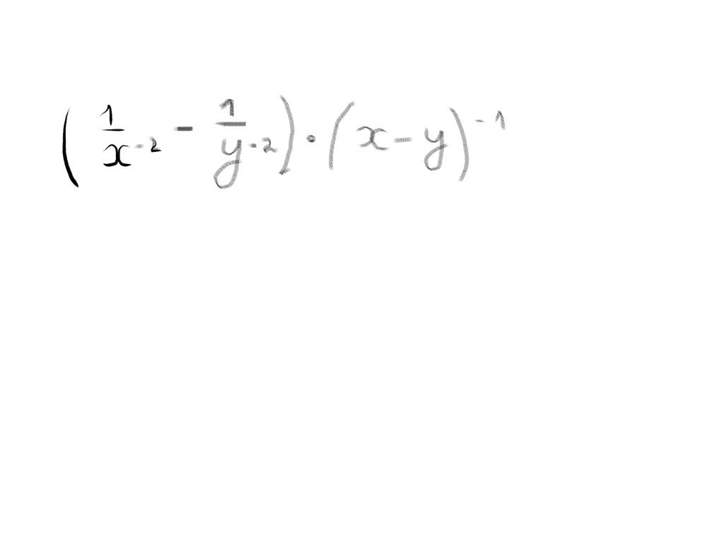
Упростите выражение
Отрицательная степень

Приложения:

Ответы

Ответ дал: voudshik
0
(x^2-y^2)*1/(x-y)
((x-y)*(x+y))/(x-y)
ответ: x+y
если помог отмечай как лучший
Ответ дал: tsukhaya
0
хорошо
Вас заинтересует