Ответы
Ответ дал:
0
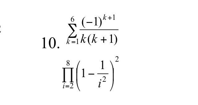
var k,z,i:integer; a,s,p:real;
begin
s:=0; z:=-1;
for k:=1 to 6 do
begin
z:=-z;
s:=s+z/(k*(k+1));
end;
writeln('s = ',s:7:5);
p:=1;
for i:=2 to 8 do p:=p*sqr(1-1/(i*i));
writeln('p = ',p:7:5);
end.
Результат:
s = 0.37619
p = 0.31641
begin
s:=0; z:=-1;
for k:=1 to 6 do
begin
z:=-z;
s:=s+z/(k*(k+1));
end;
writeln('s = ',s:7:5);
p:=1;
for i:=2 to 8 do p:=p*sqr(1-1/(i*i));
writeln('p = ',p:7:5);
end.
Результат:
s = 0.37619
p = 0.31641
Вас заинтересует
2 года назад
2 года назад
3 года назад
3 года назад
9 лет назад
9 лет назад