Ответы
Ответ дал:
0
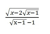
Изи. Заметь:

Следовательно, верхнюю часть можно заменить на
Получается, что числитель равен знаменателю.
Ответ: 1
Следовательно, верхнюю часть можно заменить на
Получается, что числитель равен знаменателю.
Ответ: 1
Ответ дал:
0
Спасибо огромное!!!
Ответ дал:
0
Пжл, отметь как лучшее ;)
Ответ дал:
0
Отметила. Еще раз спасибо!!))
Вас заинтересует
2 года назад
2 года назад
3 года назад
9 лет назад
10 лет назад
10 лет назад