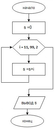
Составить блок схему алгоритма вычисления суммы всех двузначных нечетных чисел
прошу поскорее ,дам 30 баллов
Именно блок схему .(Не через массив и паскаль !)
Ответы
Ответ дал:
0
Блок-схема - в прилагаемом файле.
Приложения:
Вас заинтересует
2 года назад
2 года назад
3 года назад
3 года назад
9 лет назад
9 лет назад
10 лет назад
10 лет назад