• Предмет: Алгебра
  • Автор: nastenaromanen1
  • Вопрос задан 9 лет назад

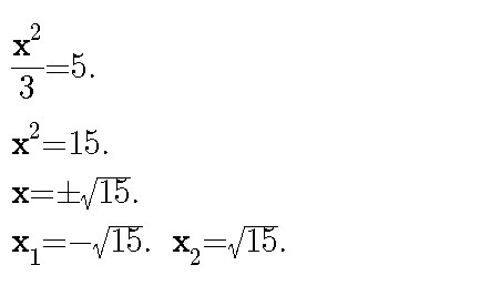
Помогите пожалуйста решить 1/3x²=5
Заранее спасибо

Ответы

Ответ дал: BETTELGEUSE
0
смотри на фото...........
Приложения:
Вас заинтересует