• Предмет: Математика
  • Автор: 0blako
  • Вопрос задан 9 лет назад

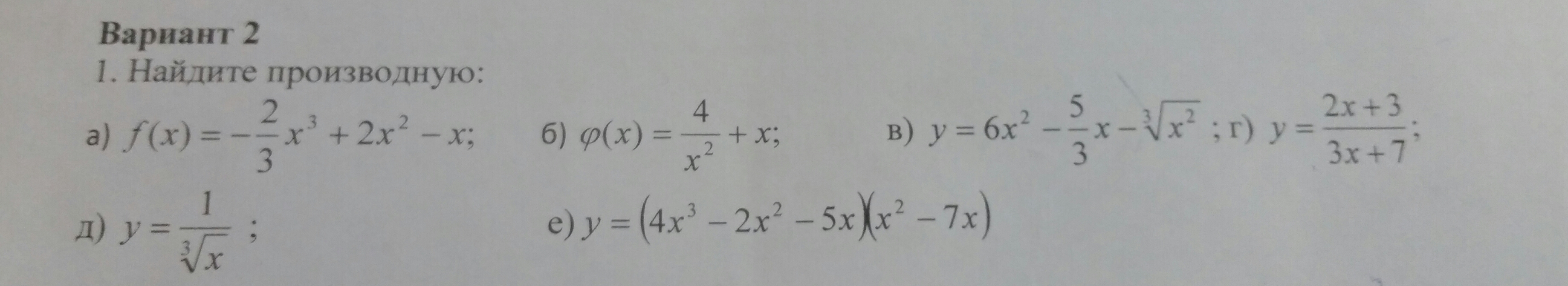
ПОМОГИТЕ ПОЖАЛУЙСТА. ОЧЕНЬ НУЖНО

Приложения:

Ответа на этот вопрос пока нет. Попробуйте найти его через форму поиска.

Вас заинтересует