• Предмет: Алгебра
  • Автор: ЗНАНА
  • Вопрос задан 9 лет назад

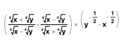
упростите неравенство данное на картинке

Приложения:

Ответы

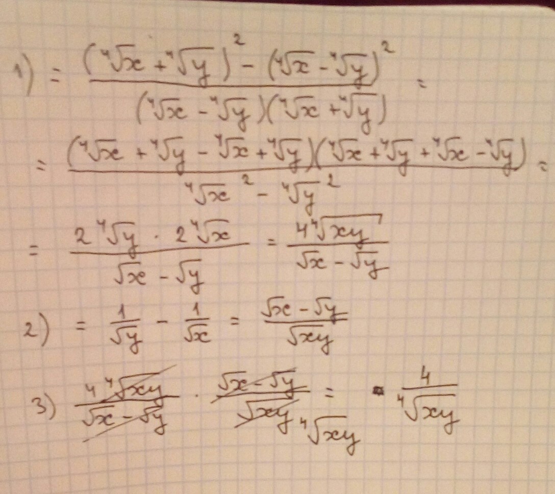
Ответ дал: ЯгодкаЯлесная
0
фоточка тебе в помощь ;)
Приложения:
Вас заинтересует