• Предмет: Алгебра
  • Автор: vasyapupkin13371
  • Вопрос задан 9 лет назад

Указать уравнение прямой
y=kx+m
A(0;5) b (1;-1)

Ответы

Ответ дал: dtnth
0
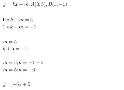
y=kx+m;A(0;5),B(1;-1)

0*k+m=5
1*k+m=-1

m=5
k+5=-1

m=5;k=-1-5
m=5;k=-6

y=-6x+5
Приложения:
Вас заинтересует