• Предмет: Алгебра
  • Автор: Natahakl
  • Вопрос задан 9 лет назад

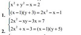
помогите пожалуйста решить систему уравнений, даю много баллов

Приложения:

Ответы

Ответ дал: ВладимирБ
0
Решение смотри на фото
Приложения:
Вас заинтересует