Ответы
Ответ дал:
0
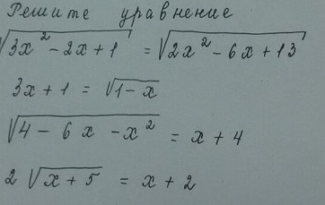
1) √(3x^2 - 2x + 1) = √(2x^2 - 6x + 13)
3x^2 - 2x + 1 = 2x^2 - 6x + 13
x^2 + 4x -12 = 0
x = (-4 (+-) √(16 + 48))/2 - это формула квадратного уравнения
x = -2 (+-) 4
Ответ: x1 = 2; x2 = -6
2) 3x + 1 = √(1 - x)
1 - x = 9x^2 + 6x + 1
9x^2 + 6x = -x
-x*(7+9x) = 0, получается х1=0, а х2 = -72, но если подставить -72 в уравнение, то возникнет ошибка, а значит ответ только 1
Ответ: х = 0
3)√(4 - 6х - х^2) = x+4
4 - 6x - x^2 = x^2 + 8x + 16
-2x^2 - 14x - 12 =0
x^2 + 7x + 6 = 0
x = (-7 (+-) √(49 - 24))2 - это формула квадратного уравнения
x = (-7 (+-) 5)2, получается х1=-1, а х2 = -6, но если подставить -6 в уравнение, то возникнет ошибка, а значит ответ только 1
Ответ: х = -1
4) 2√(х+5) = х+2
4*(х+5) = х^2 + 4x + 4
20 = x^2 + 4
x^2 = 16, получается х1=4, а х2 = -4, но если подставить -4 в уравнение, то возникнет ошибка, а значит ответ только 1
Ответ: х = 4
3x^2 - 2x + 1 = 2x^2 - 6x + 13
x^2 + 4x -12 = 0
x = (-4 (+-) √(16 + 48))/2 - это формула квадратного уравнения
x = -2 (+-) 4
Ответ: x1 = 2; x2 = -6
2) 3x + 1 = √(1 - x)
1 - x = 9x^2 + 6x + 1
9x^2 + 6x = -x
-x*(7+9x) = 0, получается х1=0, а х2 = -72, но если подставить -72 в уравнение, то возникнет ошибка, а значит ответ только 1
Ответ: х = 0
3)√(4 - 6х - х^2) = x+4
4 - 6x - x^2 = x^2 + 8x + 16
-2x^2 - 14x - 12 =0
x^2 + 7x + 6 = 0
x = (-7 (+-) √(49 - 24))2 - это формула квадратного уравнения
x = (-7 (+-) 5)2, получается х1=-1, а х2 = -6, но если подставить -6 в уравнение, то возникнет ошибка, а значит ответ только 1
Ответ: х = -1
4) 2√(х+5) = х+2
4*(х+5) = х^2 + 4x + 4
20 = x^2 + 4
x^2 = 16, получается х1=4, а х2 = -4, но если подставить -4 в уравнение, то возникнет ошибка, а значит ответ только 1
Ответ: х = 4
Вас заинтересует
2 года назад
3 года назад
3 года назад
9 лет назад
9 лет назад
10 лет назад
10 лет назад