• Предмет: Алгебра
  • Автор: Yulia20000
  • Вопрос задан 9 лет назад

Помогите решить показательные уравнения!
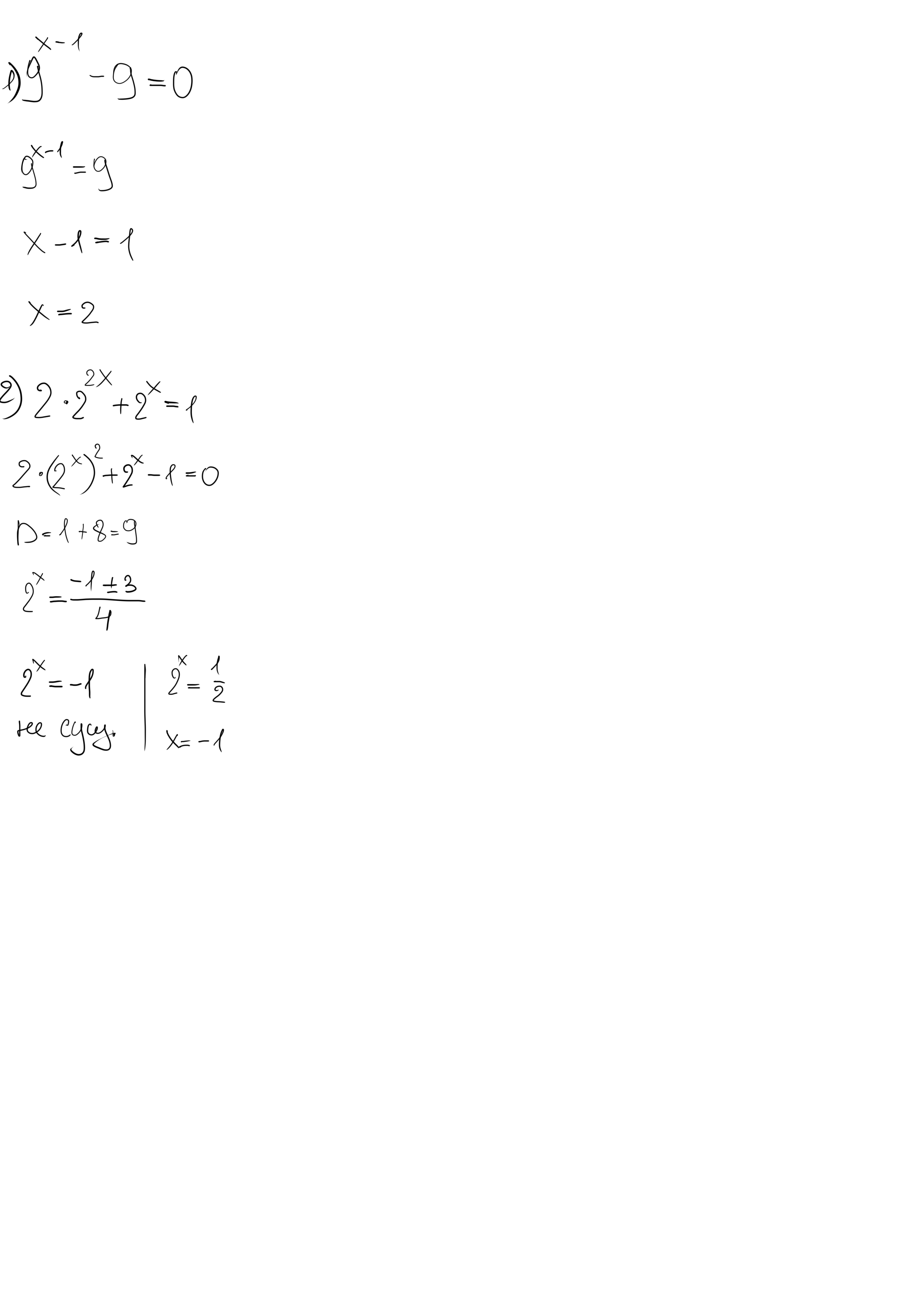
9 ^{x-1} +9=0<br /><br />
2*2^{2x} +2^{x} =1
Заранее спасибо за помощь!♥

Ответы

Ответ дал: Kirik009
0
вроде все правильно, но лучше проверить
Приложения:
Вас заинтересует