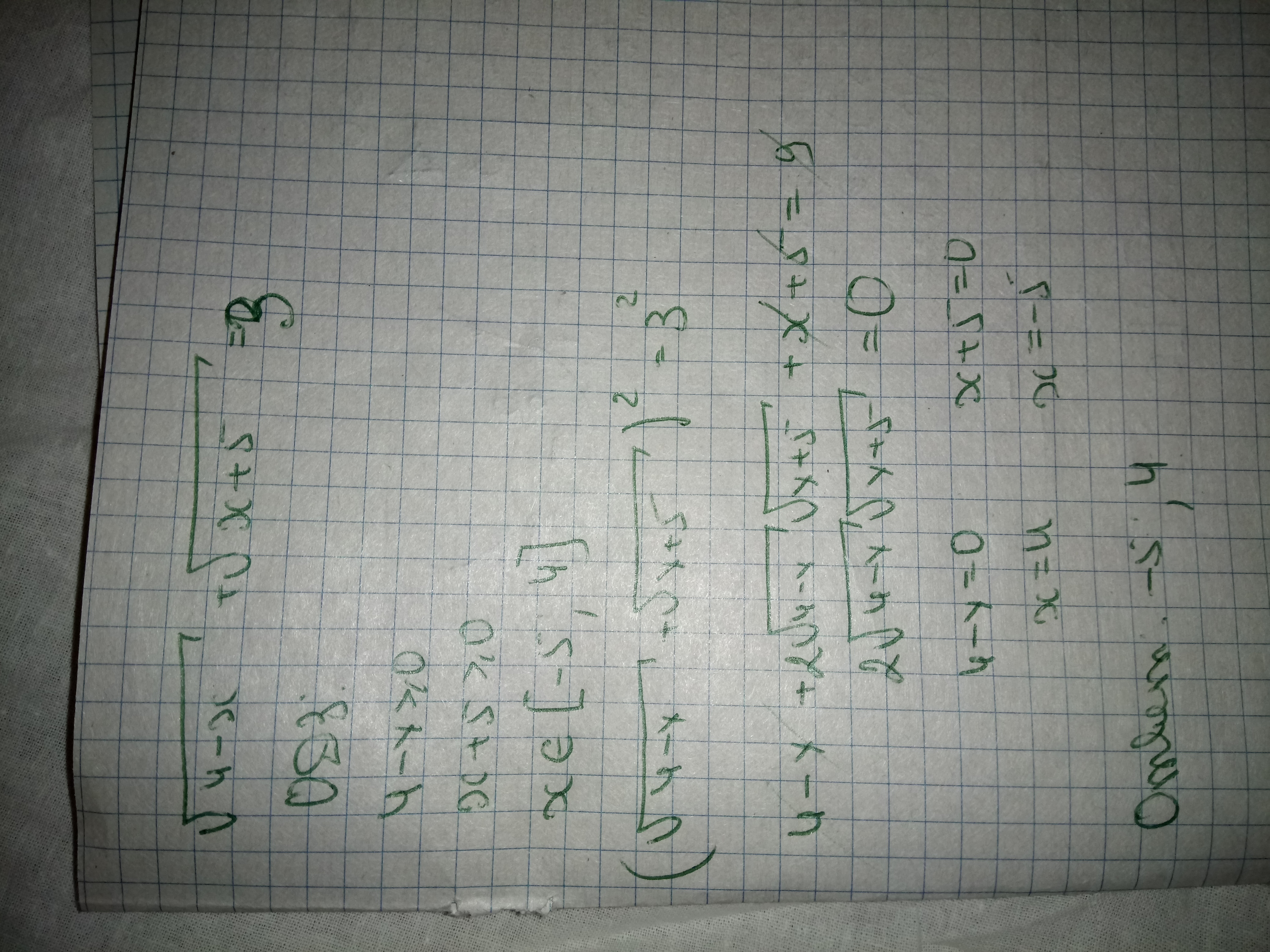
√4-x (под одним корнем) + √ 5+x(под одним корнем) = 3.
Иррациональное уравнение. Помогите решить.
Ответы
Ответ дал:
0
Решение задания приложено
Приложения:

Ответ дал:
0
Здесь надо с числом 3 сравнить, что при проверке было так, и все размазано плохо вижу
Ответ дал:
0
Там три и написано
Ответ дал:
0
ну тоесть то, в левой части получилось равно 3. т.е 3=3, оба ведь x равно трем? Посторонних корней нет?
Вас заинтересует
2 года назад
2 года назад
3 года назад
3 года назад
9 лет назад
9 лет назад
10 лет назад