Ответы
                                            Ответ дал: 
                                                                                    
                                        
                                            
                                                
                                                
                                                
                                                    0
                                                
                                            
                                        
                                    
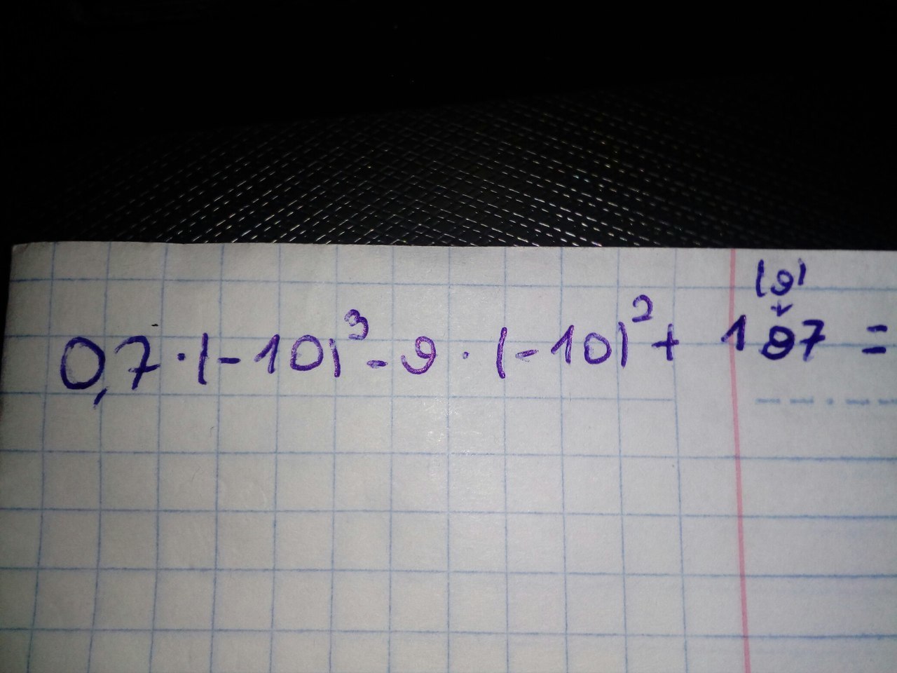
                                        0,7*(-10)^3-9*(-10)^2+197=(-10)^2(0.7(-10)-9)+197=100(-7-9)+197=-1600+197= -1403
                                    
                                        
                                        
                                Вас заинтересует
                
                        2 года назад
                    
                
                        3 года назад
                    
                
                        3 года назад
                    
                
                        9 лет назад
                    
                
                        9 лет назад
                    
                
                        10 лет назад
                    
                