• Предмет: Алгебра
  • Автор: janna2108
  • Вопрос задан 9 лет назад

Освободитесь от иррациональности в знаменателе 6√14

Ответы

Ответ дал: dtnth
0
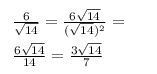
frac{6}{sqrt{14}}=frac{6sqrt{14}}{(sqrt{14})^2}=
frac{6sqrt{14}}{14}=frac{3sqrt{14}}{7}
Приложения:
Вас заинтересует