• Предмет: Алгебра
  • Автор: pozitivvkmixp0wz3x
  • Вопрос задан 9 лет назад

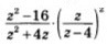
Помогите решить пример

Приложения:

Ответы

Ответ дал: армения2017
0
(z-4)(z+4)/z(z+4)=(z-4)/z

2)(z-4)/z •z^2/(z-4)^2=z/(z-4)
Вас заинтересует